LOGO

水下聲學調查

分享到

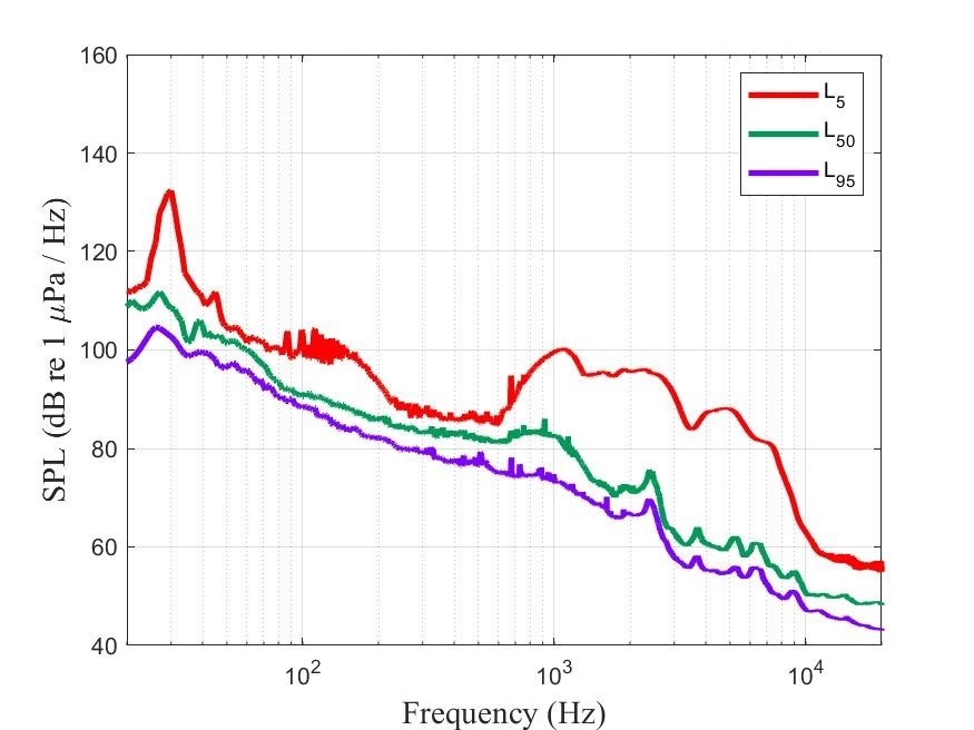
                       時頻譜圖範例                                                       噪音累積機率分布圖範例

 

依客戶不同需要,針對海洋環境背景噪音、船舶噪音、生物噪音、工程噪音實施量測,所有噪音量測皆有頻譜圖以及機率分布圖。

頻譜圖可以了解特定時間段所產生之噪音大小等相關資訊,而機率分布圖則可以了解不同頻段產生之噪音大小的趨勢,並依照量測時間段之環境分析其可能成因。