中文
English
Toggle navigation
首頁
關於我們
最新消息
工作實績
營業項目
品質政策
洋聲檢驗室
聯絡資訊
相簿
營業項目
服務類別
施工噪音模擬
分享到
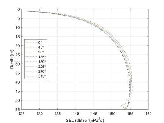
模擬點位750m處聲曝值範例 模擬點位一半水深處聲曝值分布圖範例
•
依照業主要求,獲取模擬點位相關資訊,進行施工模擬,了解該模擬點位施工時所產生之噪音值。
撥打電話
為提供您最佳個人化且即時的服務,本網站透過使用"Cookies"記錄與存取您的瀏覽使用訊息。當您使用本網站,即表示您同意Cookies技術支援。
Cookie Policy
接受並關閉