LOGO

Construction noise simulation

分享到

                     

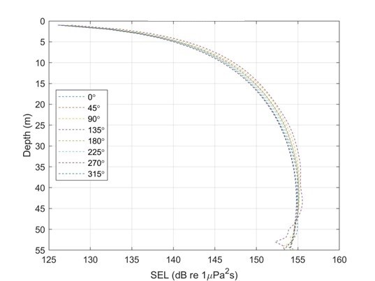
 Fig.1 SEL at 750 meters away from simulation point   Fig.2 SEL propagation at half water depth of simulation point

 

Acquiring the data, such as place, the method used for piling, etc., from the customer to simulate piling noise or construction noise.